


原标题:沙漠里的“盐”值担当!《Cell Reports》揭开荒漠蓝藻的耐盐秘密
随着全球气候变化,土壤盐渍化问题日益严峻,全球约10亿公顷土地正遭受盐碱化威胁。在广袤的沙漠里,白天烈日炙烤,致使这里的土壤含盐量最高可达普通海水的1.3倍。而在这样恶劣的环境中,生物土壤结皮却活得有滋有味。它们就像是沙漠的“皮肤”,不仅能固定流沙、保持水分,还能为其他生命的入驻创造条件。作为其中的优势类群,荒漠蓝藻在我国西北地区被广泛用于生态修复,让荒漠化土地重现生机。那么,荒漠蓝藻凭什么能在高盐环境下生存?它们手中握着怎样的“生存秘籍”?
近日,兰州大学与安徽医科大学联合科研团队在《Cell Reports》发表了题为“Genomic foundations of salt tolerance in desert cyanobacteria”的研究,首次从基因组层面揭开了荒漠蓝藻的耐盐之谜。


一个被忽视的“沙漠特种兵”
研究团队从腾格里沙漠采集到一株优势蓝藻(Nostoc sp. FACHB-892)。通过PacBio三代测序技术,他们获得了高质量的完整基因组。这株蓝藻与其近缘物种相比,基因组相似度只有90%左右。这意味着,它很可能是一个尚未被记录的新物种,在漫长的进化过程中发展出了独特的生存策略。
研究的核心突破:荒漠蓝藻的耐盐能力,既有一套“独门绝技”,也具备与其他耐盐生物共享的“通用本领”。

独门绝技:荒漠特有三板斧
第一板斧:给光合系统装上“备用轮胎”
光合作用是蓝藻储存能量的重要环节,但高盐环境会严重破坏光合系统Ⅱ中的D1蛋白。研究发现,FACHB-892中负责生产D1蛋白的psbA基因发生显著扩张。更巧妙的是,其中5个拷贝的关键位点发生了“H359N”突变,能让D1蛋白的“维修”效率大大提高。这就像给汽车准备了多个备胎,爆胎一个马上换上新的,确保光合系统在高盐环境下保持运转。

第二板斧:构建“环境感知雷达网”
沙漠环境瞬息万变,白天蒸发加剧,土壤盐分飙升;夜晚相对温和。荒漠蓝藻如何感知这种变化从而作出应对措施?研究发现,FACHB-892大幅扩展了rcp1基因家族,且远超其他蓝藻,这是感知黎明光信号的关键基因。在盐胁迫下,这些“雷达”基因被大量激活,协助蓝藻敏锐感知昼夜交替带来的盐分波动,及时启动应对机制。值得注意的是,这类感知系统的扩张是荒漠蓝藻独有的。
第三板斧:多通路协同作战
盐胁迫初期,光合作用和能量代谢被抑制,活性氧(ROS)积累。此时,硫代谢通路被激活:一方面提供谷胱甘肽用于ROS清除和DNA修复,另一方面支持铁硫簇合成。铁硫簇与磷酸戊糖途径产生的NADPH、细胞色素b6-f复合物协同作用,增强光系统Ⅰ的循环电子流,为光系统Ⅱ的修复创造条件。简单来说:硫代谢负责“清障”,电子传递链负责“供能”,两者配合,让受损的光合系统得以恢复。研究还发现γ-谷氨酰半胱氨酸、组氨酸、精氨酸等13种氨基酸在盐胁迫下显著积累,形成了一个庞大的“抗逆代谢库”。


通用本领:跨越生境的趋同进化
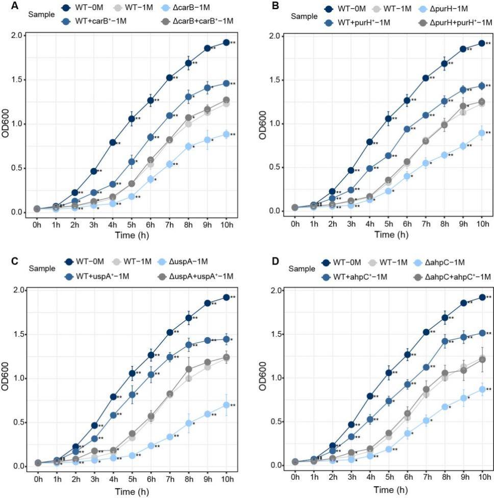
除了独门绝技,FACHB-892还与其他生境的耐盐蓝藻共享一套“通用工具箱”。研究团队从40株蓝藻中筛选出17株耐盐“选手”,通过进化分析锁定16个受到强烈正向选择的基因。这些基因涉及DNA合成、抗氧化、光合作用、氨基酸代谢等多个功能类别。其中4个基因在转录组分析中被证实受盐胁迫诱导表达,成为重点研究对象(ahpC、uspA、purH、carB)。这4个基因的耐盐功能通过跨物种实验得到验证:在大肠杆菌中分别敲除这四个基因的同源物,菌株在1 M盐胁迫下生长严重受阻(uspA敲除株受影响最显著);回补这些基因后,生长能力恢复;过表达株则表现出比野生型更强的耐盐能力。这一结果说明:这四个基因的功能在不同物种间是保守的,均能在盐胁迫下发挥保护作用。值得注意的是,purH和carB此前从未被证实与耐盐性直接相关。这项研究首次揭示了它们在原核生物耐盐中的关键作用,为后续基因工程改造提供了全新靶点。

未竟之路
本研究发现的这些关键基因的上游调控因子尚不清楚,它们之间的互作网络也有待阐明。从基础研究到实际应用,还有很长的路要走。但无论如何,这项研究为我们打开了一扇窗:透过这株小小的荒漠蓝藻,我们不仅看到了生命在极端环境下的生存智慧,也看到了科技服务生态修复的无限可能。下一次,当你想到沙漠时,或许可以想象:在看不见的地下,这些微小的生命正在用它们的“黑科技”,默默守护着这片土地的生机。
该研究以兰州大学为第一单位,兰州大学生态学院/草种创新与草地农业生态系统全国重点实验室博士后叶彤为论文第一作者,安徽医科大学王高鸿教授为通讯作者。本研究得到了青年科技人才联合培养计划项目(25RCKA035)、国家重点研发计划项目(2025YFF0512900)、国家自然科学基金(32422089和32360927)等项目的资助,并依托兰州大学超算中心提供的计算支持。
原文链接:Genomic foundations of salt tolerance in desert cyanobacteria
(兰州大学新闻网)