


原标题:闲谭丨听闻“洮河之变”,汤显祖写下七绝《胡姬抄骑过通渭》
汤显祖是明代著名戏曲家、文学家,被誉为“中国戏圣”“东方莎士比亚”。其戏剧作品《还魂记》(即《牡丹亭》)《紫钗记》《南柯记》《邯郸记》合称“临川四梦”,以《还魂记》为代表作。诗文有《玉茗堂文集》四卷等。1962年中华书局上海编辑所出版徐朔方、钱南扬校点《汤显祖集》,收入已知存世的汤显祖的全部戏曲、诗、文等作品。《汤显祖集》第九卷收录《胡姬抄骑过通渭》七绝诗一首:渭南兵火照城山,十八盘西探马还。似倚燕支好颜色,秋风欲向妙娥关。

据诗后徐朔方先生笺注,该诗作于明万历十八年(1590年),时汤显祖在南京礼部祠祭司主事任。据《明史·神宗本纪》及《明实录》记载,明万历十八年六月,蒙古火落赤部侵袭洮州,“副总兵李联芳率三千人御之,尽覆。七月复深入,大掠河州、临洮、渭源。总兵官刘承嗣与游击孟孝臣各将一军御之,皆败绩,游击李芳等死焉,西陲大震”,史称洮河之变,与该诗同时,汤显祖还有《河州》《吊西宁帅》《王莎衣欲过叶军府肃州》等十数首组诗,皆以洮河之变为背景而作。
汤显祖生平仕履与交游可考范围主要在南京、北京、浙江遂昌、广东徐闻及江西临川,未见涉足西北及甘肃通渭、临洮一带的记载。本诗诗题与内容仅表明是听闻西北战事后,有感于连年战乱的边塞咏怀之作,并非实地到访,非纪行。虽为题咏,《胡姬抄骑过通渭》诗中写到几处与通渭相关的地名,却非常确切,似亲历一般,不知是巧合还是有文献依据。

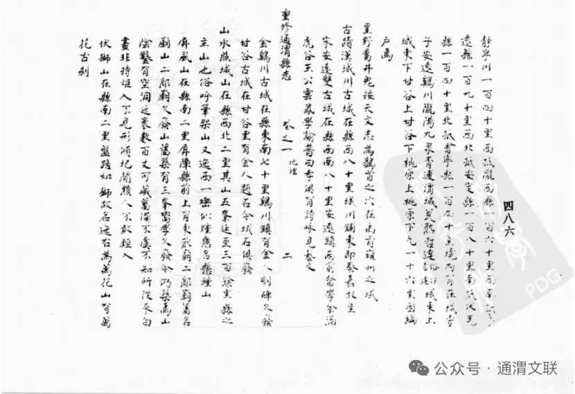
具体而言,渭南兵火照城山之句里的渭南,徐朔方释读:“诗首句渭南,今西安市东,当是作者一时误记”,此渭南非今陕西省渭南市,而是通渭南之意。明清时期通渭城常简称作渭城,康乾时期李南晖在文学或书法作品常署渭城李南晖,渭城之北就是渭北或渭阳,如位于北城镇魏杨村宋代渭阳堡,就因在通渭城北二十里处而名。万历《重修通渭县志·卷之一地理》谈及照城山的方位:“在县西北二里,其山五峰延亘三百余里,县之主山也,俗呼笔架山。”
十八盘西探马还之句的十八盘山,位于襄南镇连家川村,《重修通渭县志》:“十八盘山,在县南五十里,峻险十八曲”。似倚燕支好颜色之句明显化用《匈奴歌》里的“失我焉支山,令我妇女无颜色”。秋风欲向妙娥关之句的妙娥关,则指向陇西县文峰镇境内,顾祖禹《读史方舆纪要·卷五十九》:“高田谷,在府东……或以为即城东三十里之妙娥谷云。”

诗题《胡姬抄骑过通渭》之胡姬,徐朔方释为指三娘子属下火落赤部,应为三娘子而非火落赤部。
三娘子是明中后期漠南蒙古军政重要人物,被明朝敕封为忠顺夫人。洮河之变发生后,当时可汗扯力克瞒着三娘子西行,声援火落赤。三娘子知情后马上派出使者,要求扯力克东归,扯力克迫于三娘子的压力,率兵返回,洮河之乱渐得平息。三娘子为当时的民族团结作出了巨大贡献,其事迹,也在当时及后世文人墨客的诗歌中得到传颂。明代三大才子之一的徐渭,在吴兑总督府与三娘子相识而成为好友,专为其写诗六首,以示钦羡之情,其中一诗云:“汉军争看绣裲裆,十万弯弧一女郎。唤起木兰亲与较,看他用箭是谁长。”将其与巾帼英豪花木兰相提并论。
徐渭是汤显祖景仰的文学前辈,汤显祖临川四梦深受徐渭杂剧《四声猿》影响,徐渭也激赏汤显祖才华。汤显祖对三娘子这位塞北佳人亦有着极高的评价,曾作《朔塞歌二首》歌咏,其一云:“独上偏头笑一回,娘娘滩上绣旗开。金珠不施从军妇,顺义夫人眼里来。”与《胡姬抄骑过通渭》作于同一时期。《胡姬抄骑过通渭》诗中通过战马、秋色、燕支、妙娥等意象勾勒出一位英勇与柔美兼具的女性形象,凸显出三娘子在战乱环境中的飒爽英姿。

历史上虽然没有三娘子到过通渭的记载,并不妨诗人的丰富想象,诗人只是借助需要的人物场景,发一时感怀而已。正如“但使龙城飞将在,不教胡马度阴山”诗中龙城,并非实指,而是唐代诗歌中象征中原军事要塞的意象。由于诗题中的“通渭”与句首中的“渭南”易产生歧义,再简单说一下通渭的“渭”。宋熙宁元年(1068年)在今什川镇古城村筑通渭寨,距古渭寨(今陇西县)六十里。通渭为通向、连通古渭寨之意,渭即古渭寨。
元至元七年(1270年),在什川存在202年的通渭县(寨),迁移今通渭城区。随着时间推移,到明代时,大多数人认为通渭自建置以来一直在今址,未曾变迁过。通渭之名,《重修通渭县志》云“因水南流于渭故名”,是通“渭”水而来,因此有学者认为渭水流经通渭。《读史方舆纪要·卷五十二》说:“渭水,出临洮府渭源县西二十五里之南谷山……东流经巩昌府(陇西县)北及通渭县、宁远县(武山县)、伏羌县(甘谷县)之北……”又云:“渭水,在城北。自陇西县流入境,又折而东南,入宁远县界”“照城山,在县城北渭水上”,不仅渭水流经通渭,而且照城山也在渭水上。
实际上通渭城区主要河流为牛谷河(散渡河),南流甘谷境内入渭河,通渭县域范围今古虽有变化,但任何时期与渭河相距都有一段距离。顾祖禹未曾到过实地考察,只是依据“因水南流于渭故名”而认定渭水流经通渭,明显是错误。
徐朔方亦因对西北地理的生疏,对“渭”理解有误,认为渭南是作者一时记忆之误。既然“胡姬抄骑过通渭”,通渭与渭南相距遥远,不可能把毫不相干的地方扯在一起。《胡姬抄骑过通渭》全诗浅显易懂,本毋须注解,只因牵涉几处与通渭相关地名,引发笔者一时好奇,作了一段小考,聊博一笑。
文丨刘小农(作者系通渭县博物馆研究馆员,主要从事文物鉴定与地方史研究。)
(奔流新闻)