


两封珍贵的甘肃苹果史料
作者:进修
甘肃苹果,闻名天下。
多年来,在国内外展销会上,静宁苹果、天水花牛苹果、庆阳苹果、陇南礼县苹果、庄浪苹果、白银龙湾苹果等,每每亮相登场,就以独具的丰盈韵姿和浓郁香气而艳压群芳,斩获大奖;只要你轻尝几口甘肃苹果,味蕾就会被肉细汁多、脆甜鲜嫩,美得欲罢不能,难以割舍。

外地朋友常问,为什么甘肃的苹果会这么好看又好吃?
这要从上世纪60年代中共中央办公厅秘书室专门为庆阳苹果、天水花牛苹果写的两份致函感谢复信讲起。


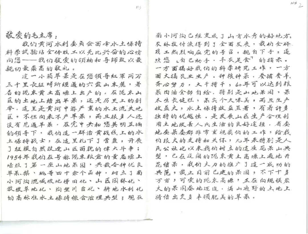
1954年,黄河水利委员会西峰水土保持科学试验站全体职工,在黄河中游水土流失的严重地区董志塬上扎下营盘,培植了第一座山地果园,共栽各种优良苹果,梨,桃等40余个,树立了南小河流域“坡地梯田化、山区园林化、坡木草地化、沟壑川台化、耕地水利化”的高标准水土保持综合治理典型。1960年10月,该站全体职工以无比兴奋的心情,向毛主席写信汇报并寄去了他们山地果园首次摘的一小厢苹果。毛主席嘱咐中共中央办公厅秘书室回函致谢,如下:
西峰水土保持科学试验站全体同志:
寄给毛主席的信和苹果均已收到,谢谢你们。
你们在从来不生长水果的六盘山东蔍和著名的陇东黄土高原上进行水土保持科学试验,并在南小河沟树立了“五化”的高标准水土保持综合治理典型,培植成功苹果、梨、桃等40余个果木优良品种;与此同时,还遵照毛主席“自己动手,丰衣足食”的指示,大高农副业生产做到60年,凉菜,肉油全部自己。这确是开发山区,发展山区生产,合理利用土地,改善人民生活的良好示范。希望再接再厉,乘胜前进,为控制水土流失,发展水利,改变山区面貌而做出更多的贡献。
此复,并致
敬礼
中共中央办公厅秘书室
一九六O年十月廿六日

无独有偶。1965年秋,在果树专家多年辛勤研究和指导培育下,天水市花牛镇花牛村苹果种植试验取得了成功。花牛村果农精心挑选出两箱刚刚采摘的苹果给毛主席寄去,表达对毛主席的敬仰。毛主席品尝后,非常喜爱,并在家中会见时任甘肃省省长的天水籍著名人士邓宝珊时用天水苹果招待他,称赞道:“你家乡天水的苹果好吃!”。中共中央办公厅代表毛主席,专门致函向花牛村村民表示感谢,如下:
天水县花牛公社花牛寨大队全体社员:
九月廿三日寄给毛主席的信和苹果都已收到,谢谢你们的盛意。
希望你们继续努力,艰苦奋斗,进一步发扬自力更生,奋发图强的革命精神,在今后的生产上,取得更大的成绩。
中央早有不收群众礼物的规定,请你们以后不要再送。为了不使你们的收入受到影响,现汇去人民币四十四元八角二分,请查收。
此致
敬礼
中共中央办公厅秘书室(印)
一九六五年十月九日

甘肃苹果,荣莫大焉。我浏览过有些书刊或网上一些文章,回忆和介绍这两件复信的情况,在时间、内容方面多有表述不一之处。为此,我专门委托庆阳市政协文史委和天水市政协文史委的同事们帮助查询到了原始资料,当年从庆阳寄给毛主席的信以及回信原件在黄河档案馆(郑州)。他们在查阅这些史料的过程中,也和我收阅后身同感受,深受教育和感动。这些信函件,不仅是甘肃苹果产业乃至农业发展的生动缩影,更是学习党史、新中国史、改革开放史、社会主义发展史的珍贵史料。

诚然,大自然赋予大西北特有的山、川、水、土、风、光,使甘肃拥有了孕育人间仙果的资源禀赋。但是,在蓝天白云下,当你从陇原大地硕果累累的果林走出,翻阅甘肃苹果一个个品种的栽培种植历史记录,或者倾听甘肃苹果产业的成长发展故事,必定会心潮澎湃,由衷敬佩。

在广袤的陇原大地上,无数共产党人扛起让老百姓过上幸福日子的初心使命而奋斗不息,无数平凡的科技工作者为利用自然、改造自然而矢志不渝,一位位面朝黄土背朝天的父老乡亲为摆脱贫困、奔向富裕而战天斗地。正是他们薪火相传赓续接力,用青春的鲜血和汗水浇灌,以坚定的信念毕生呵护,才使得甘肃的山川遍绿,水土醇香、风光甜爽,才使得甘肃的苹果红得像火,美味可人。

放眼千里陇上,处处果园飘香。甘肃已是我国苹果生产大省和重要优势产区,苹果也是甘肃省最具竞争力的优势特色产业。2023年,种植面积稳定在580万亩,苹果年产量740万吨,均居全国前列。甘肃苹果产业,在实乡村振兴和迈向共同富裕大道上,在推进中国式现代化甘肃实践中,正谱写新的更加美丽的华章。
(甘味品牌中心)